Vamos con la segunda cuestión.
Para ello primero voy a poner el enlace del post en el que se trata sobre la conexión de LEDs en serie y en grupos para poder tener más elementos dando luz con menor consumo:
http://www.escalan.es/showthread.php?tid...5#pid22985
Ahora comentaremos lo que aparece en la foto de las resistencias.
Una buena referencia para trabajar con diodos led es el siguiente enlace:
http://es.wikipedia.org/wiki/Circuito_de_LED
Las resistencias de tu foto son de un valor de 680 ohmios (las dos que son iguales) y de 1800 ohmios la otra. El led que aparece es de 3 mm de diámetro y se supone que la luz que va a proyectar es verde, este diodo presentará entre sus patillas una caída de tensión de aproximadamente 2V cuando circule por él una corriente de aproximadamente 10mA.
Vamos a tu caso concreto, dando por hecho que tu alimentador proporciona 12V.
En el caso de arriba puede parecer poca corriente, pero para diodos de alto brillo la verdad es que es más que suficiente e incluso desde mi punto de vista puede resultar hasta un tanto alta para crear iluminación ambiente.
En el caso de abajo me parece una corriente excesiva incluso para un diodo normal.
Puedes poner un sólo LED por cada resistencia y luego hacer grupos sin problema, incluso puedes mezclar grupos con 1, 2, 3 o 4 LEDs. El agruparlos en 3 o 4 me parece que lleva el aliciente de que con la misma corriente que para uno solo, haces iluminar tres o cuatro, con lo cual tienes más luz con el mismo consumo eléctrico.
Por cierto, si tu alimentador proporcionase 9V en vez de 12V, estarías obligado a hacer grupos de un máximo de tres LEDs en serie ya que la caída de tensión de estos tres estaría muy cercana a la del alimentador y podrías encontrarte con que los diodos no luciesen.
Yo sigo recomendando corrientes muy pequeñas si se utilizan LEDs blancos de alto brillo (yo diría que a día de hoy cualquiera de ellos), lo que nos permite tener más cantidad de diodos iluminando con menos potencia luminosa, eso permite distribuirlo de manera tal que la luz se difumine correctamente y abarque una mayor zona con una luz continua.
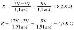
En este caso damos por hecho una caída de tensión en el diodo blanco de 3V (con estas intensidades suele ser un poquito menor, en torno a los 2.7V), para intensidades de casi 1 miliamperio y casi 2 miliamperios, los valores comerciales que obtenemos son de 8,2 kiloohmios (gris, rojo, rojo, oro) y de 4,7 kiloohmios (amarillo, violeta, rojo, oro).
http://es.wikipedia.org/wiki/Resistor
http://www.digikey.com/us/es/mkt/calcula...stors.html
Bueno, esto es todo amigos, espero no haberos liado demasiado.
Salu2
Cristobal, no te lo tomes al pie de la letra, ya que me faltan datos visuales para poder asegurar las cosas, pero me ha parecido que los condensadores negros grandes están marcados para una tensión de 10 V, si los haces trabajar por encima de esa tensión (tengas los diodos conectados o no) los condensadores se calentarían, se abombarían, podrían llegar a estallar (depende del modelo concreto) y desprenderían una sustancia pegajosa y corrosiva.
PERO INSISTO, son conjeturas ya que no tengo datos suficientes para poder asegurarlo.
Si cambias a la patilla de 9V, y yo estoy equivocado, podría suceder que el circuito estabilizador no realizase su función y la tensión en la salida no fuese estable o no fuese de 9V, en este caso no habría más problema que la fluctuación que se pudiese notar en la iluminación de los diodos.
Si funciona sin problemas y proporciona 9V estables, simplemente en las fórmulas anteriores sustituyes los 12V por 9V y rehaces los cálculos.
http://www.lcardaba.com/articles/R_normal/R_normal.htm
Para ello primero voy a poner el enlace del post en el que se trata sobre la conexión de LEDs en serie y en grupos para poder tener más elementos dando luz con menor consumo:
http://www.escalan.es/showthread.php?tid...5#pid22985
Ahora comentaremos lo que aparece en la foto de las resistencias.
Una buena referencia para trabajar con diodos led es el siguiente enlace:
http://es.wikipedia.org/wiki/Circuito_de_LED
Las resistencias de tu foto son de un valor de 680 ohmios (las dos que son iguales) y de 1800 ohmios la otra. El led que aparece es de 3 mm de diámetro y se supone que la luz que va a proyectar es verde, este diodo presentará entre sus patillas una caída de tensión de aproximadamente 2V cuando circule por él una corriente de aproximadamente 10mA.
Vamos a tu caso concreto, dando por hecho que tu alimentador proporciona 12V.
En el caso de arriba puede parecer poca corriente, pero para diodos de alto brillo la verdad es que es más que suficiente e incluso desde mi punto de vista puede resultar hasta un tanto alta para crear iluminación ambiente.
En el caso de abajo me parece una corriente excesiva incluso para un diodo normal.
Puedes poner un sólo LED por cada resistencia y luego hacer grupos sin problema, incluso puedes mezclar grupos con 1, 2, 3 o 4 LEDs. El agruparlos en 3 o 4 me parece que lleva el aliciente de que con la misma corriente que para uno solo, haces iluminar tres o cuatro, con lo cual tienes más luz con el mismo consumo eléctrico.
Por cierto, si tu alimentador proporcionase 9V en vez de 12V, estarías obligado a hacer grupos de un máximo de tres LEDs en serie ya que la caída de tensión de estos tres estaría muy cercana a la del alimentador y podrías encontrarte con que los diodos no luciesen.
Yo sigo recomendando corrientes muy pequeñas si se utilizan LEDs blancos de alto brillo (yo diría que a día de hoy cualquiera de ellos), lo que nos permite tener más cantidad de diodos iluminando con menos potencia luminosa, eso permite distribuirlo de manera tal que la luz se difumine correctamente y abarque una mayor zona con una luz continua.
En este caso damos por hecho una caída de tensión en el diodo blanco de 3V (con estas intensidades suele ser un poquito menor, en torno a los 2.7V), para intensidades de casi 1 miliamperio y casi 2 miliamperios, los valores comerciales que obtenemos son de 8,2 kiloohmios (gris, rojo, rojo, oro) y de 4,7 kiloohmios (amarillo, violeta, rojo, oro).
http://es.wikipedia.org/wiki/Resistor
http://www.digikey.com/us/es/mkt/calcula...stors.html
Bueno, esto es todo amigos, espero no haberos liado demasiado.
Salu2
(22-12-2013, 00:33)cristobal escribió: Antonio acabo de medir la tension y marca 11.97 notengo ni idea se podrian quemar esos condensadores cuando la utilice con los leds,si es de nueve voltios puedo dessoldar la patilla de 12v y ponerla en 9v o habria que hacer mas cambios me imagino que la cantidad de leds que soprtaria seria la misma pero con otras resistencias ¿no?
Cristobal, no te lo tomes al pie de la letra, ya que me faltan datos visuales para poder asegurar las cosas, pero me ha parecido que los condensadores negros grandes están marcados para una tensión de 10 V, si los haces trabajar por encima de esa tensión (tengas los diodos conectados o no) los condensadores se calentarían, se abombarían, podrían llegar a estallar (depende del modelo concreto) y desprenderían una sustancia pegajosa y corrosiva.
PERO INSISTO, son conjeturas ya que no tengo datos suficientes para poder asegurarlo.
Si cambias a la patilla de 9V, y yo estoy equivocado, podría suceder que el circuito estabilizador no realizase su función y la tensión en la salida no fuese estable o no fuese de 9V, en este caso no habría más problema que la fluctuación que se pudiese notar en la iluminación de los diodos.
Si funciona sin problemas y proporciona 9V estables, simplemente en las fórmulas anteriores sustituyes los 12V por 9V y rehaces los cálculos.
http://www.lcardaba.com/articles/R_normal/R_normal.htm
Salu2.
Antonio.
Antonio.



Galerías de fotos
